Foto: Municipio de San Antonio Tolima. Suministrada a cambioin.com
Por: Editor Ibagué - Publicado en octubre 17, 2023
La Contraloría General de la República a través de una solicitud vía derecho de petición pidió una documentación a la Alcaldía de San Antonio de cara a establecer como se han dado unos procesos de contratación.
Por: Editora Local
El organismo de control revisará como ha sido el proceso de contratación desde el año 2020 a la fecha
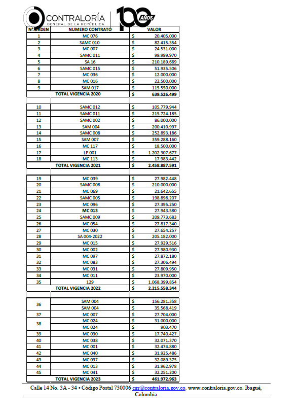
La Contraloría General de la Repúblico, informó al alcalde del municipio de San Antonio Jorge Iván Vásquez Martínez que se encuentra verificando un derecho de petición para establecer como se han dado unos procesos de contratación en las vigencias 2020, 2021, 2022 y 2023.
Por ese motivo se solicitaron actas de inicio, actas de supervisión, actas de finalización, actas de recibo, facturas de compra, soportes de pago, certificados de disponibilidad presupuestal, registro presupuestal de los contratos principales y de las adiciones.
Entre los contratos a supervisar por parte de la Contraloría General de la República, se solicitó la información detallada del parque automotor del municipio entre el 2020 al 2023, especificando el número de placa, nombre e identificación del conductor, número de teléfono y dependencia al que e encontraba asignado.
Así mismo la manera como se ha dado el suministro de combustible, cronograma de trabajo, actividades, seguimiento al kilometraje de los automotores, así como la copia de los recibos de tanqueo de cada vehículo que reposan en la administración.
También se solicitó enviar la respectiva documentación de algunos procesos de licitación pública número 002-2022 contrato número 129 de 2022, presupuesto, viabilidad del proyecto, contratista con presupuesto, análisis de precios, también se solicitó información de los contratos número 251 de 2021, número 104 de 2022, contrato número 120 del 3 de mayo de 2023.
El organismos de control solicita información detallada de los contratos 143 del 18 de junio de 2021, 016 de 2020, 008 de 2021, 002 de 2021, 004 de 2023, el contrato 012 de 2021 por reparación y mantenimiento de maquinaria, como motoniveladora, retrocargador, volqueta Inter, Montero Mitsubichi.
Por otra pate se solicita el contrato 008 de 2021 contrata la reposición de alcantarillado en el centro poblado de Playarrica del municipio de San Antonio, estudios previos, estudios y diseños técnicos presupuestales, presupuesto oficial, permisos, licencia ambiental,, construcción, aprobaciones, servidumbres, título de propiedad de predios, financiación, propuesta del contratista, actas, informe de la obra, manual de entrega entre otros.
Otros de los contratos solicitados es el contrato 096 del 2022 para contratar el servicio de mantenimiento y reparación a todo costo del kit de maquinaria pesada de la Alcaldía Municipal de San Antonio. El contrato 083 del 2022 construcción de obras de contención en viviendas afectadas por ola invernal en las veredas Llano Grande y Carraposo de San Antonio. Contrato 041 del 2023 contrata el suministro de materiales para la atención de familias afectadas por fenómenos naturales en San Antonio. Contrato 013 del 2023 contrata el suministro de materiales para la atención de familias afectadas por fenómenos naturales, estudios previos, diseños, presupuesto oficial, especificaciones técnicas, financiación y aprobación.
Facturas electrónicas en la venta definitiva del proceso MC 007, contrato de compraventa 053 del 24 de enero 2023, que remplazo la factura electrónica número COHC 72 que expidió el contratista pero fue anulada.
Se espera el análisis de la documentación para que se establezca por parte de la Contraloría General de la Nación si hubo o irregularidades en el proceso.
Copia: Documento de la Contraloría General de la República. cambioin.com

Estás Leyendo cambioin.com